跳到内容
的见解

建筑与日常生活中的振动:如何衡量?

振动监测 振动监测 布劳恩品牌图形
By Ren Keyport, PE | July 28, 2021

振动存在于我们的日常生活中,不同的家庭来源,如电器和吵闹的幼儿;施工源,如打桩、振动压实;以及地震和风等自然因素。每一种振动对我们来说感觉都很不一样,但有可能将它们与我们用于建筑损伤标准的阈值联系起来吗?

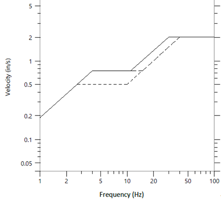
首先,让我们快速了解一下在美国使用的最常见的振动阈值,即美国矿务局RI-8507和地面采矿复垦与执法办公室(RI-8507)。而图1中的阈值。它们不是包罗万象的,它们是许多其他阈值建议的源材料,并为绘制其他振动源提供了很好的参考图。RI-8507是常用的0.5 in/sec阈值的来源,包括在规范中经常被忽略的重要频率相关阈值。在这篇博客的最后,我们将看看上面提到的资源是如何万博app手机版官网下载符合这个阈值图的。

图1:RI-8507的Plot。实线表示第一个可能的石膏板开裂,虚线表示第一个可能的灰泥开裂的木框结构。

住宅来源

日常生活中的振动源包括洗衣机和烘干机、空调和火炉、脚步声、门关上、交通和几十个其他来源。虽然这些震源的振动特性各不相同,但它们可以在一般范围内分类。以下是这些震源的一些近似振动水平:

表1。各种住宅振动源的峰值振动水平(距震源5英尺)

速度(在/秒) 频率(赫兹)
洗衣机 0.1 13-18
空调 0.05 30 - 60
干燥机 0.05 0.1 - 1
门关上 0.5 70 - 100
交通- 10英尺 0.5 做些
幼儿跳跃(30磅,1磅地板) 1.0 70 - 100
脚步声 0.1 5 - 15


天然来源

来自自然界的振动不太常见,但可能更有害。来自风和雷等来源的振动的实际影响是很难测量的,因为这些影响通常与压力有关,而不是振动。地震是结构振动的最大例子,这经常引发这样的问题:“建筑振动与里氏震级有什么关系?”这个答案因许多因素而变得复杂,但简单来说,里氏震级将3.0-3.9定义为“许多人感觉得到,没有损害”,将4.0-4.9定义为“所有人感觉得到,轻微破坏”,因此可以说,建筑振动通常在里氏3-5级范围内。

表2。各种自然源的估计振动水平

速度(在/秒) 频率(赫兹)
地震(里氏3) 0.05 - -0.3 1 - 12
地震(里氏4) 0.3 - -1.0 1 - 12
地震(里氏5) 1.0 - -2.0 1 - 12
NA 0.001 - 1
雷声 0.1 4 - 100


建设资源

根据设备大小、制造商和土壤类型,建筑振动源有很多可变性,但在大多数情况下,它们也在适度的可预测范围内运行。振动通常分为瞬态/冲击振动和连续/稳定振动。想想“爆炸”和“喧闹”。

表3。20英尺处各种建筑源的估计峰值振动水平。

速度(在/秒) 频率(赫兹)
拆迁 0.5 15 - 30
锤打桩 1.0 20 - 40
岩石挑选 0.2 60 - 100
振动压实 0.2 25-45
振动打桩 0.4 20-45
总码头 0.4 30 - 60


虽然这种信息可能难以概念化,但当根据RI-8507损伤阈值绘制时,它会更有意义一些。图2。包含上述振动水平标绘振动阈值和人类感知指数。

图2。与RI-8507阈值和人类感知相比,估计来自普通振动源的振动水平。

我们从这幅图中了解到,在超过20英尺的距离上,大多数建筑的振动与在家里经历的日常振动是一样的。虽然有可能造成损害,但不应将其视为常态。建筑振动通常是不愉快的住户,特别是不愉快,因为它们可能比高水平振动发生在家里更频繁(砰的一声门,孩子跳,等等)。监测这些振动水平仍然是一个重要的降低风险的策略,即使在低水平,因为振动的感知往往与损害有关。建立邻近属性的基线条件,并由训练有素的工程师和科学家进行调查,这对整个过程也至关重要,因为这可以根据具体情况准确地指定振动阈值。在博朗manbet体育滚球Intertec,我们的专门振动监测团队将每一个我们调查的结构视为独一无二的,以提供最准确的振动阈值。

要了解更多不同类型的振动如何影响结构,请查看我们即将举行的网络研讨会,解码振动阈值:建筑物何时开裂?9月23日,项目工程师Ren Keyport (PE)和Cody Bain (PE)将现场直播。

免责声明:这里提出的振动水平更多的是轶闻而不是科学,应该这样对待。RI-8507提供的振动阈值没有考虑瞬态和连续振动的差异,也没有考虑土壤固结的可能性,也没有考虑受损条件下的建筑物。


联系我们

    这个网站需要cookies来提供它的所有功能。有关cookies中包含哪些数据的更多信息,请参阅我们的隐私政策页面。继续使用本网站,即表示您同意我们的隐私政策。